某基金的贝塔值为1.2,收益率为15%,市场组合的收益率为12%,无风险利率8%,其詹森α为()。A:0.020B:0.022C:0.031D...

作者: rantiku 人气: - 评论: 0
问题 某基金的贝塔值为1.2,收益率为15%,市场组合的收益率为12%,无风险利率8%,其詹森α为()。
选项 A:0.020 B:0.022 C:0.031 D:0.033
答案 B
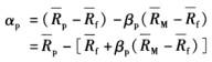
解析 詹森α衡量的是基金组合收益中超过CAPM模型预测值的那一部分超额收益。用公式表示为:

将数据代入公式,该基金的詹森α=15%-8%-1.2*(12%-8%)=0.022。

猜你喜欢

发表评论
更多 网友评论0 条评论)
暂无评论

访问排行

Copyright © 2012-2014 恰考网 Inc. 保留所有权利。 Powered by tikuer.com

页面耗时0.0316秒, 内存占用1.03 MB, Cache:redis,访问数据库20次