假设某基金在2014年12月3日的单位净值为1.3425元,2015年6月1日的单位净值为1.7464元。期间该基金曾于2015年2月28日每份额派发红利...

作者: rantiku 人气: - 评论: 0
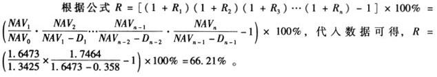
问题 假设某基金在2014年12月3日的单位净值为1.3425元,2015年6月1日的单位净值为1.7464元。期间该基金曾于2015年2月28日每份额派发红利0.358元。该基金2015年2月27日(除息日前一天)的单位净值为1.6473元,则该基金在这段时间内的时间加权收益率为()。
选项 A:35.47% B:40.87% C:55.64% D:66.21%
答案 D
解析

猜你喜欢

发表评论
更多 网友评论0 条评论)
暂无评论

访问排行

Copyright © 2012-2014 恰考网 Inc. 保留所有权利。 Powered by tikuer.com

页面耗时0.0360秒, 内存占用1.03 MB, Cache:redis,访问数据库20次