我们说X与Y的相关性比X与Z的相关性强,意味着( )。

作者: rantiku 人气: - 评论: 0
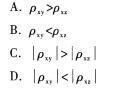
问题 我们说X与Y的相关性比X与Z的相关性强,意味着( )。
选项
答案 C
解析 相关性的强弱取决于相关系数的绝对值,故选项C正确。

猜你喜欢

发表评论
更多 网友评论0 条评论)
暂无评论

访问排行

Copyright © 2012-2014 恰考网 Inc. 保留所有权利。 Powered by tikuer.com

页面耗时0.0413秒, 内存占用1.03 MB, Cache:redis,访问数据库20次