我国2013年国内生产总值为59万亿元,财政支出为14万亿元,2014年国内生产总值为64万亿元,财政支出为15万亿元,到2014年财政支出增长的弹性系数...

作者: tihaiku 人气: - 评论: 0
问题 我国2013年国内生产总值为59万亿元,财政支出为14万亿元,2014年国内生产总值为64万亿元,财政支出为15万亿元,到2014年财政支出增长的弹性系数为(  )。
选项 A.084 B.020 C.500 D.119
答案 A
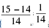
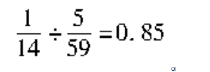
解析 财政支出增长弹性系数是指财政支出增长率与国内生产总值增长率之比,以E表g示。弹性系数大于1,表明财政支出增长速度快于国内生产总值增长速度。其计算公式为: 题中,到2014年财政支出增长率= 到2014年国内生产总值增长率= 故到2014年财政支出增长的弹性系数为

相关内容:我国,2013年,国内,生产总值,亿元,财政,支出,2014年,弹性,系数

猜你喜欢

发表评论
更多 网友评论0 条评论)
暂无评论

访问排行

Copyright © 2012-2014 恰考网 Inc. 保留所有权利。 Powered by tikuer.com

页面耗时0.0378秒, 内存占用1.04 MB, Cache:redis,访问数据库19次