某学校学生的平均年龄为20岁,标准差为3岁;该校教师的平均年龄为38岁,标准差为3岁。比较该校学生年龄和教师年龄的离散程度,则()。A:学生年龄和教师年龄...

作者: tihaiku 人气: - 评论: 0
问题 某学校学生的平均年龄为20岁,标准差为3岁;该校教师的平均年龄为38岁,标准差为3岁。比较该校学生年龄和教师年龄的离散程度,则()。
选项 A:学生年龄和教师年龄的离散程度相同 B:教师年龄的离散程度大一些 C:教师年龄的离散程度是学生年龄离散程度的1.9倍 D:学生年龄的离散程度大一些
答案 D
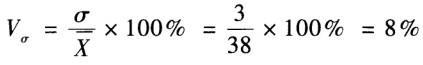
解析 学生年龄的离散系数;教师年龄的离散系数,由于学生年龄的离散系数大于教师年龄的离散系数,故学生年龄的离散程度较大,教师年龄的离散程度较小。

相关内容:学校,教师,学生,年龄,离散,程度

猜你喜欢

发表评论
更多 网友评论0 条评论)
暂无评论

访问排行

Copyright © 2012-2014 恰考网 Inc. 保留所有权利。 Powered by tikuer.com

页面耗时0.0461秒, 内存占用1.04 MB, Cache:redis,访问数据库16次