2016年某市下辖8个县的全年小麦产量分别为:69200吨、10800吨、80800吨、11 500吨、51000吨、160000吨、60000吨、630...

作者: tihaiku 人气: - 评论: 0
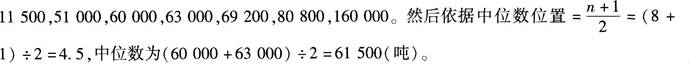
问题 2016年某市下辖8个县的全年小麦产量分别为:69200吨、10800吨、80800吨、11 500吨、51000吨、160000吨、60000吨、63000吨。这组数据的中位数是( )吨。
选项 A.63000 B.61500 C.60000 D.11500
答案 B
解析 本题考查中位数的应用。首先对题干中的数据进行排序为:10800,

相关内容:2016年,个县,全年,小麦,产量,69200吨,10800吨,80800吨,500吨,51000吨,160000吨,60000吨,630...

猜你喜欢

发表评论
更多 网友评论0 条评论)
暂无评论

访问排行

Copyright © 2012-2014 恰考网 Inc. 保留所有权利。 Powered by tikuer.com

页面耗时0.0340秒, 内存占用1.04 MB, Cache:redis,访问数据库18次