某连锁超市6个分店的职工人数由小到大排序后为57人、58人、58人、60人、63人、70人,其算术平均数、众数分别为()人。A:59;58 B:61;5...

作者: tihaiku 人气: - 评论: 0
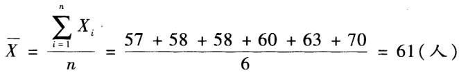
问题 某连锁超市6个分店的职工人数由小到大排序后为57人、58人、58人、60人、63人、70人,其算术平均数、众数分别为()人。
选项 A:59;58 B:61;58 C:61;59 D:61;70
答案 B
解析 算术平均数;众数为58,因为58出现的次数最多,为2次。

相关内容:连锁超市,分店,职工,人数,排序,算术,平均数,众数

猜你喜欢

发表评论
更多 网友评论0 条评论)
暂无评论

访问排行

Copyright © 2012-2014 恰考网 Inc. 保留所有权利。 Powered by tikuer.com

页面耗时0.0309秒, 内存占用1.04 MB, Cache:redis,访问数据库20次