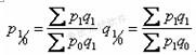
P0和P1分别是基期和报告期的质量数值,q0和q1分别是基期和报告期的数量数值,帕氏质量指数的一般计算公式是()。

作者: tihaiku 人气: - 评论: 0
问题 P0和P1分别是基期和报告期的质量数值,q0和q1分别是基期和报告期的数量数值,帕氏质量指数的一般计算公式是()。
选项
答案 D
解析 考核第25章。帕氏质量指数需要反映价格的变化且以报告期数量为权数。 第二十八课时 第二十五章 知识点二、加权综合指数(二)、报告期加权综合指数-帕氏指数 1、计算一组项目的综合指数时,把作为权数的变量值固定在报告期。 前者是帕氏质量指数,报告期的数量作为权数。 后者是帕氏数量指数,报告期的质量作为权数。

相关内容:基期,报告期,质量,数值,数量,帕氏,指数,公式

猜你喜欢

发表评论
更多 网友评论0 条评论)
暂无评论

访问排行

Copyright © 2012-2014 恰考网 Inc. 保留所有权利。 Powered by tikuer.com

页面耗时0.0668秒, 内存占用1.04 MB, Cache:redis,访问数据库19次