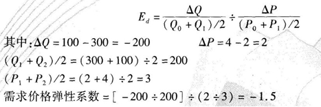
某商品的价格为2元/件时,销售量为300件;当价格提高到4元/件时,销售量为100件。按照弧弹性公式计算,该商品的需求价格弹性是( )。A.0.40 ...

作者: tihaiku 人气: - 评论: 0
问题 某商品的价格为2元/件时,销售量为300件;当价格提高到4元/件时,销售量为100件。按照弧弹性公式计算,该商品的需求价格弹性是( )。
选项 A.0.40 B.0.67 C.1.50 D.2.00
答案 C
解析 需求价格弹性系数的计算有两种公式,一种是点弹性公式;一种是弧弹 性公式。题干要求是按照弧弹性公式计算:由于需求价格弹性系数始终是负数,所以对以直接用绝对值表示。

相关内容:商品,价格,件时,销售量,300件,100件,弹性,公式,需求,A.0.40

猜你喜欢

发表评论
更多 网友评论0 条评论)
暂无评论

访问排行

Copyright © 2012-2014 恰考网 Inc. 保留所有权利。 Powered by tikuer.com

页面耗时0.0501秒, 内存占用1.05 MB, Cache:redis,访问数据库20次