某商品2013~2017年销售额(单位:万元)如表2所示。该商品2013~2017年销售额的平均增长量为( )。 表2 A.8 B.11 C.13...

作者: tihaiku 人气: - 评论: 0
问题 某商品2013~2017年销售额(单位:万元)如表2所示。该商品2013~2017年销售额的平均增长量为( )。 表2
选项 A.8 B.11 C.13 D.15
答案 B
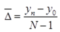
解析 平均增长量的计算公式为: 式中,N为时间序列项数。该商品2013~2017年销售额的平均增长量=(64-20)/(5-1)=11(万元)。

相关内容:商品,2017年,销售额,单位,万元,2所示,增长量,C.13...

猜你喜欢

发表评论
更多 网友评论0 条评论)
暂无评论

访问排行

Copyright © 2012-2014 恰考网 Inc. 保留所有权利。 Powered by tikuer.com

页面耗时0.0428秒, 内存占用1.05 MB, Cache:redis,访问数据库20次