2011-2016年我国工业生产者出厂价格指数分别为106.0、98.3、98.1、98.1、94.8、98.6,选取移动间隔k=3,应用移动平均法预测2...

作者: tihaiku 人气: - 评论: 0
问题 2011-2016年我国工业生产者出厂价格指数分别为106.0、98.3、98.1、98.1、94.8、98.6,选取移动间隔k=3,应用移动平均法预测2017年工业生产者出厂价格指数,则预测值为()。
选项 A.97.2 B.99.0 C.98.3 D.96. 7
答案 A
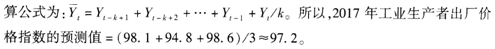
解析 移动平均法使用时间数列中最近k期数据值的平均数作为下一期的预测值。其计

相关内容:2011-2016年,我国,工业,生产者,出厂,价格指数,移动,间隔,应用,平均法,预测

猜你喜欢

发表评论
更多 网友评论0 条评论)
暂无评论

访问排行

Copyright © 2012-2014 恰考网 Inc. 保留所有权利。 Powered by tikuer.com

页面耗时0.0352秒, 内存占用1.05 MB, Cache:redis,访问数据库18次