某工程高程测量,已知A 点高程为,水准仪安置于

作者: rantiku 人气: - 评论: 0
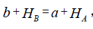
问题 某工程高程测量,已知A 点高程为 , 水准仪安置于
选项
答案 C
解析 已知前视读数+前视高程=后视读数+后视高程,即 ,所以 ,即C 选项正确。

猜你喜欢

发表评论
更多 网友评论0 条评论)
暂无评论

访问排行

Copyright © 2012-2014 恰考网 Inc. 保留所有权利。 Powered by tikuer.com

页面耗时0.0405秒, 内存占用1.03 MB, Cache:redis,访问数据库17次