某水利工程毛石护坡项目,承发包双方约定采用实物量法编制施工预算,结算时对人工单价、机械台班单价不予调整,主要材料可以进行调价,按基期价格与当时当地材料价格...

作者: tihaiku 人气: - 评论: 0
问题 某水利工程毛石护坡项目,承发包双方约定采用实物量法编制施工预算,结算时对人工单价、机械台班单价不予调整,主要材料可以进行调价,按基期价格与当时当地材料价格指数的比例进行调值,对承包方予以补偿。 承发包双方认定的各项技术资料如下: (1)每10m3砌体需M50水泥砂浆4.30m3,基期价格100元/m3;需毛石11.30m3,基期价格60元/m3;需用水0.76m3,基期价格0.5元/m3。其中水泥、砂、毛石及固定价格要素占比例分别为20%、5%、45%及30%。 (2)每10m3砌体需基本工作时间72工时,其中辅助时间、准备与结束工作时间、不可避免的中断时间和休息时间各为基本工作时间的比例是5%、3%、2%和10%,考虑人工消耗的幅度差为10%,市场人工单价为30元/工日。 (3)容量为200立升的砂浆拌合机一次循环时间为:装料60秒,搅拌120秒,卸料40秒,不可避免中断20秒。机械利用系数0.80,机械幅度差15%,台班单价60元/台班。 (4)工程施工是4月1日开工,5月30日完工。按承包方计划为4月份完成工程量2500m3,5月份完成3000m3。各月主要材料价格指数如表6-1所示。 表6-1主要材料价格指数 【问题】 1.计算每10m3毛石护坡人工消耗量及机械台班消耗量。 2.计算各月结算时每10m3材料费实际应为多少? 3.计算该护坡工程直接费。
选项
答案
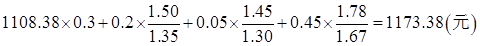
解析 1.计算每10m3毛石护坡人工消耗量及机械台班消耗量。 答案:(1)完成每10m3毛石护坡的人工消耗量为: 考虑人工消耗量的变化幅度差10%,则W1=11.25×(1+10%)=12.375(工日)。 (2)完成每10m3毛石护坡的机械台班消耗量为: 砂浆拌合机每小时循环次数n=(60×60)÷(60+120+40+20)=15(次)。 台班产量定额为8×15×0.2×0.80=19.200(m3/台班)。 每m3砂浆所需机械台班消耗量为(1+15%)÷19.20=0.060(台班/m3)。 每10m3砌体机械台班消耗量为W2=0.060×4.30=0.258(台班)。 2.计算各月结算时每10m3材料费实际应为多少? 答案:(1)每10m3砌体的基期材料费为:4.30×100+11.30×60+0.76×0.5=1108.38(元)。 (2)各月每10m3砌体的实际材料费: 4月份: 5月份: 3.计算该护坡工程直接费。 答案:(1)4月份工程直接费: (2)5月份工程直接费:

相关内容:毛石,护坡,项目,双方,约定,实物,编制,施工,预算,结算,人工,单价,机械,台班,调整,材料,调价,基期,价格,当时,当地,材料价格

猜你喜欢

发表评论
更多 网友评论0 条评论)
暂无评论

访问排行

Copyright © 2012-2014 恰考网 Inc. 保留所有权利。 Powered by tikuer.com

页面耗时0.0400秒, 内存占用1.05 MB, Cache:redis,访问数据库19次