某拟建工程由甲、乙、丙三个施工过程组成;该工程共划分成四个施工流水段,每个施工过程在各个施工流水段上的流水节拍如下表所示。按相关规范规定,施工过程乙完成...

作者: tihaiku 人气: - 评论: 0
问题  某拟建工程由甲、乙、丙三个施工过程组成;该工程共划分成四个施工流水段,每个施工过程在各个施工流水段上的流水节拍如下表所示。按相关规范规定,施工过程乙完成后其相应施工段至少要养护2d,才能进入下道工序。为了尽早完工,经过技术攻关,实现施工过程乙在施工过程甲完成之前1d提前插入施工。   各施工段的流水节拍 问题:   1.简述无节奏流水施工的特点。   2.该工程应采用何种的流水施工模式。   3.计算各施工过程间的流水步距和总工期。   4.试编制该工程流水施工计划图。
选项
答案
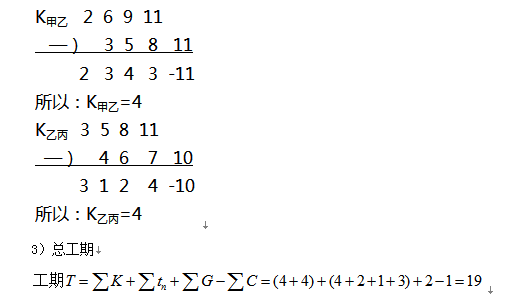
解析  1.无节奏流水施工的特点是:   (1)各施工过程在各施工段的流水节拍不全相等。   (2)相邻施工过程的流水步距不尽相等。   (3)专业工作队数等于施工过程数。   (4)各专业工作队能够在施工段上连续作业,但有的施工段之间可能有空闲时间。   2.根据工程特点,该工程只能组织无节奏流水施工。   3.求各施工过程之间的流水步距:   1)各施工过程流水节拍的累加数列   甲:2 6 9 11   乙:3 5 8 11   丙:4 6 7 10   2)错位相减,取大差,得流水步距 4.流水施工计划图如下所示。

相关内容:工程,三个,施工,过程,共划,流水,节拍,相关,规范,规定

猜你喜欢

发表评论
更多 网友评论0 条评论)
暂无评论

访问排行

Copyright © 2012-2014 恰考网 Inc. 保留所有权利。 Powered by tikuer.com

页面耗时0.0326秒, 内存占用1.05 MB, Cache:redis,访问数据库19次