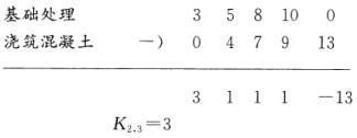
某基础工程由基础开挖、基础处理、浇筑混凝土三个施工过程组成,该工作分四个施工段,各施工过程在各个施工段上持续时间见表5-2,试确定流水步距并计算流水施工工...

作者: tihaiku 人气: - 评论: 0
问题

某基础工程由基础开挖、基础处理、浇筑混凝土三个施工过程组成,该工作分四个施工段,各施工过程在各个施工段上持续时间见表5-2,试确定流水步距并计算流水施工工期。

选项
答案
解析

工期T=∑K+∑t3=(2+3)+( 4+3+ 2+4)=18(周)∑K是流水步距之和;∑t3是最后一个施工过程的流水节拍之和。

相关内容:基础工程,基础,开挖,混凝土,三个,施工,过程,工作,施工段,工段,流水,步距

猜你喜欢

发表评论
更多 网友评论0 条评论)
暂无评论

访问排行

Copyright © 2012-2014 恰考网 Inc. 保留所有权利。 Powered by tikuer.com

页面耗时0.0362秒, 内存占用1.05 MB, Cache:redis,访问数据库20次