某工程包括三个结构形式与建造规模完全一样的单体建筑,施工过程共由五个施工过程组成,分别为:土方开挖、基础施工、地上结构、二次砌筑、装饰装修。根据施工工艺要...

作者: tihaiku 人气: - 评论: 0
问题 某工程包括三个结构形式与建造规模完全一样的单体建筑,施工过程共由五个施工过程组成,分别为:土方开挖、基础施工、地上结构、二次砌筑、装饰装修。根据施工工艺要求,地上结构施工完毕后,需等待 2 周后才能进行二次砌筑。 该工程采用五个专业工作队组织施工,各施工过程的流水节拍见表 基础施工 5、6、7 三个月混凝土试块抗压强度统计数据的直方图如图 3—1 所示。 【问题】 (1)本题目组织的属于何种形式的流水施工,流水施工的组织形式还有哪些? (2)绘制其流水施工进度计划横道图(每两周为一个单位),计算总工期。 (3)如果要求加合理快工期,应组织何种流水?应需要增加那些专业施工队伍?工期是多少? (4)针对基础施工,指出 5、6、7 三个月的直方图分别属于哪种类型,并分别说明其形成原因。
选项
答案
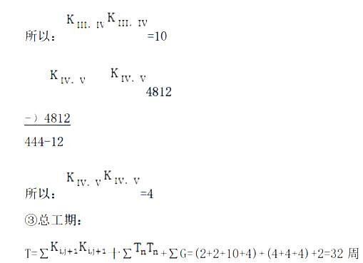
解析 问题 1:事件二的流水施工类型及其他流水施工组织形式: 1)属于无节奏流水施工。 2)等节奏流水施工、异节奏流水施工。 问题 2:根据上表中数据,采用“累加数列错位相减取大差法(简称‘大差法’)”计算流水步距: ①各施工过程流水节拍的累加数列: 施工过程工:246 施工过程Ⅱ:246 施工过程Ⅲ:61218 施工过程Ⅳ:4812 施工过程 V:4812 ②错位相减,取最大值得流水步距: ④五个专业队完成施工的流水施工进度计划如图所示。 问题3: 1)应组织加快的成倍流水施工。 2)需增加:地上结构队:2个;二次砌筑队:1个;装饰装修队:1个; 【需要施工队伍计算:取K=2周 土方开挖队:1个;基础施工队:1个;地上结构队:3个;二次砌筑队:2个;装饰装修队:2个】 3)工期:(3+9-1)*2+2=24周 问题4: (1)5 月份的直方图属于孤岛型。 形成原因:由于原材料发生变化,或者他人顶班作业造成的。 (2)6 月份的直方图属于双峰型。 形成原因:由于用两种不同方法或两台设备或两组工人进行生产,然后把两方面数据混在一起整理产生的。 (3)7 月份的直方图属于绝壁型。 形成原因:由于数据收集不正常,可能有意识地去掉下限以下的数据,或是在检测过程中存在某种人为因素造成的。

相关内容:工程,三个,结构,形式,规模,单体,建筑,施工,过程,土方,开挖,基础,地上,装饰装修,根据,工艺

猜你喜欢

发表评论
更多 网友评论0 条评论)
暂无评论

访问排行

Copyright © 2012-2014 恰考网 Inc. 保留所有权利。 Powered by tikuer.com

页面耗时0.0362秒, 内存占用1.05 MB, Cache:redis,访问数据库20次