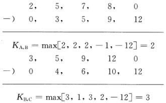
某工程由4个施工过程组成,分为4个施工段进行流水施工,其流水节拍(天)见表2-8,则施工过程A与B、B与C、C与D之间的流水步距分别为()。A、2天、...

作者: rantiku 人气: - 评论: 0
问题 某工程由4个施工过程组成,分为4个施工段进行流水施工,其流水节拍(天)见表2-8,则施工过程A与B、B与C、C与D之间的流水步距分别为()。
选项 A、2天、3天、4天 B、3天、2天、4天 C、3天、4天、1天 D、1天、3天、5天
答案 A
解析 本题考查的是采用累加数列错位相减取大差法计算流水步距。

猜你喜欢

发表评论
更多 网友评论0 条评论)
暂无评论

访问排行

Copyright © 2012-2014 恰考网 Inc. 保留所有权利。 Powered by tikuer.com

页面耗时0.0306秒, 内存占用1.03 MB, Cache:redis,访问数据库18次