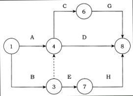
根据下表给定的逻辑关系绘制的分部工程双代号网络计划如下图所示,其作图错误的是()。A、节点编号不对 B、逻辑关系不对 C、有多个起点节点 ...

作者: rantiku 人气: - 评论: 0
问题 根据下表给定的逻辑关系绘制的分部工程双代号网络计划如下图所示,其作图错误的是()。
选项 A、节点编号不对 B、逻辑关系不对 C、有多个起点节点 D、有多个终点节点
答案 B
解析 本题考查的是双代号网络图的绘图规则。图中虚工作③→④使工作E和工作A之间的逻辑关系表示的不对。

猜你喜欢

发表评论
更多 网友评论0 条评论)
暂无评论

访问排行

Copyright © 2012-2014 恰考网 Inc. 保留所有权利。 Powered by tikuer.com

页面耗时0.0554秒, 内存占用1.03 MB, Cache:redis,访问数据库18次