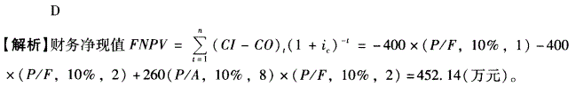
某建设项目前两年每年年末投资400万元,从第3年开始,每年年末等额回收 260万元,项目计算期为10年。设基准收益率(ic)为10%,则该项目的财务...

作者: rantiku 人气: - 评论: 0
问题 某建设项目前两年每年年末投资400万元,从第3年开始,每年年末等额回收 260万元,项目计算期为10年。设基准收益率(ic)为10%,则该项目的财务净 现值为( )万元。
选项 A.256.79 B.347.92 C.351.90 D.452.14
答案 D
解析

猜你喜欢

发表评论
更多 网友评论0 条评论)
暂无评论

访问排行

Copyright © 2012-2014 恰考网 Inc. 保留所有权利。 Powered by tikuer.com

页面耗时0.0309秒, 内存占用1.03 MB, Cache:redis,访问数据库18次