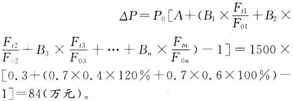
2010年3月,实际完成的某工程基准日期的价格为1500万元。调值公式中的固定系数为0.3,相关成本要素中,水泥的价格指数上升了20%,水泥的费用占合同调...

作者: rantiku 人气: - 评论: 0
问题 2010年3月,实际完成的某工程基准日期的价格为1500万元。调值公式中的固定系数为0.3,相关成本要素中,水泥的价格指数上升了20%,水泥的费用占合同调值部分的40%,其他成本要素的价格均未发生变化。2010年3月应调整的合同价的差额为()万元。
选项 A、84 B、126 C、1584 D、1626
答案 A
解析 特别注意题目中“调值公式中的固定系数为0.3……水泥的费用占合同调值部分的40%”,因此,合同调值部分占的比例是70%,水泥的费用占总费用的比例是70%*40%,根据调值公式进行计算如下:

猜你喜欢

发表评论
更多 网友评论0 条评论)
暂无评论

访问排行

Copyright © 2012-2014 恰考网 Inc. 保留所有权利。 Powered by tikuer.com

页面耗时0.0323秒, 内存占用1.03 MB, Cache:redis,访问数据库20次