某分部工程有3个施工过程,各分为4个流水节拍相等的施工段, 各施工过程的流水节拍分别为6、6、4天。如果组织加快的成倍节拍流水施工, 则流水步距和...

作者: rantiku 人气: - 评论: 0
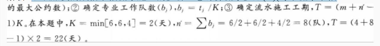
问题 某分部工程有3个施工过程,各分为4个流水节拍相等的施工段, 各施工过程的流水节拍分别为6、6、4天。如果组织加快的成倍节拍流水施工, 则流水步距和流水施工工期分别为( )天。
选项 A、 2和22 B、 2和30 C、 4和28 D、 4和36
答案 A
解析 组织加快的成倍节拍流水施工的步骤:①计算流水步距(K)(等于流水节拍

猜你喜欢

发表评论
更多 网友评论0 条评论)
暂无评论

访问排行

Copyright © 2012-2014 恰考网 Inc. 保留所有权利。 Powered by tikuer.com

页面耗时0.0431秒, 内存占用1.03 MB, Cache:redis,访问数据库17次