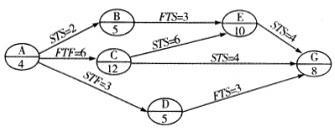
某工程单代号搭接网络计划如下图所示,其中B和D工作的最早开始时间是()A、4和4 B、6和7 C、2和0 D、2和2

作者: rantiku 人气: - 评论: 0
问题 某工程单代号搭接网络计划如下图所示,其中B和D工作的最早开始时间是()
选项 A、4和4 B、6和7 C、2和0 D、2和2
答案 C
解析 由题意可知A工作开始时间与B工作的开始时间的时间间隔为2天,因而B工作的最早开始时间是第2天末;又A工作的开始时间到D工作的结束时间的时间间隔是3天,D工作的持续时间为5天,故D工作必在A工作开始前已经开始,因而D工作最早开始时间是第0天。

猜你喜欢

发表评论
更多 网友评论0 条评论)
暂无评论

访问排行

Copyright © 2012-2014 恰考网 Inc. 保留所有权利。 Powered by tikuer.com

页面耗时0.0286秒, 内存占用1.03 MB, Cache:redis,访问数据库17次