某工程单代号搭接网络计划如图3-64所示,节点中下方数字为该工作的持续时间,其中的关键工作有()。A、工作A B、工作B C、工作C D、...

作者: rantiku 人气: - 评论: 0
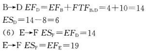
问题 某工程单代号搭接网络计划如图3-64所示,节点中下方数字为该工作的持续时间,其中的关键工作有()。
选项 A、工作A B、工作B C、工作C D、工作D E、工作E
答案 ABE
解析 本题考查的是单代号搭接网络计划。 从左到右,取两者较大值,所以EFE=19-6=13 从左到右,取两者较大值,ESF=19,EFF=19+0=19 所以A、B、E、F为关键线路。

猜你喜欢

发表评论
更多 网友评论0 条评论)
暂无评论

访问排行

Copyright © 2012-2014 恰考网 Inc. 保留所有权利。 Powered by tikuer.com

页面耗时0.0301秒, 内存占用1.03 MB, Cache:redis,访问数据库16次