下列关于应用生产能力指数法估算某化工建设项目投资的说法中,正确的有()A、生产能力指数取值应考虑拟建项目与已建同类项目的投资来源差异 B、拟建项目与已...

作者: rantiku 人气: - 评论: 0
问题 下列关于应用生产能力指数法估算某化工建设项目投资的说法中,正确的有()
选项 A、生产能力指数取值应考虑拟建项目与已建同类项目的投资来源差异 B、拟建项目与已建同类项目生产能力之比应限制在50倍以内 C、应考虑拟建项目与已建同类项目因建设时间不同而导致的价格水平差异 D、拟建项目与已建同类项目的实施主体必须相同 E、生产能力指数取值应限制在1~2之间
答案 BC
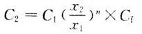
解析 生产能力指数法。它是利用已经建成类似项目或装置的投资额,估算拟建项目或装置投资额的方法,其估算数学公式为: 式中,C2为拟建项目或装置的投资额;C1为已建同类型项目或装置的投资额;χ2为拟建项目的生产能力;χ1为已建同类型项目的生产能力;Cf为价格调整系数;n为生产能力指数。在该方法中,生产能力指数n是一个关键因素。选取n值的原则是:靠增加设备、装置的数量,以及靠增大生产场所扩大生产规模时,n取0.8~0.9;靠提高设备、装置的功能和效率扩大生产规模时,n取0.6~0.7。拟建项目生产能力与已建同类项目生产能力的比值应有一定的限制范围,一般这一比值不能超过50倍,而在10倍以内效果较好。生产能力指数法多用于估算生产装置投资。

猜你喜欢

发表评论
更多 网友评论0 条评论)
暂无评论

访问排行

Copyright © 2012-2014 恰考网 Inc. 保留所有权利。 Powered by tikuer.com

页面耗时0.0268秒, 内存占用1.03 MB, Cache:redis,访问数据库14次