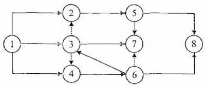
某分部工程双代号网络图如下图所示,图中错误有( )。 A、多个终点节点 B、多个起点节点 C、工作代号重复 D、节点编号有误 E、存在...

作者: rantiku 人气: - 评论: 0
问题 某分部工程双代号网络图如下图所示,图中错误有( )。
选项 A、多个终点节点 B、多个起点节点 C、工作代号重复 D、节点编号有误 E、存在循环回路
答案 ADE
解析 本题考查的是双代号网络图的绘制。选项A,有⑦⑧两个终点节点。选项D,节点②③④的编号有误。选项E,③④⑥组成了闭合回路。参见教材P38。

猜你喜欢

发表评论
更多 网友评论0 条评论)
暂无评论

访问排行

Copyright © 2012-2014 恰考网 Inc. 保留所有权利。 Powered by tikuer.com

页面耗时0.0384秒, 内存占用1.03 MB, Cache:redis,访问数据库18次