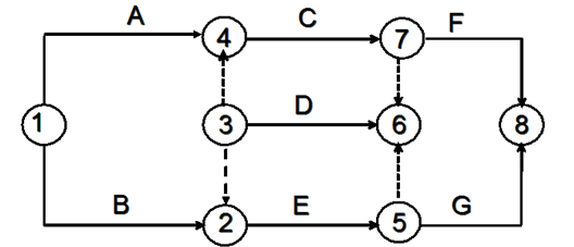
某双代号网络图计划如下图所示,图中错误的有()。 A、多个起点节点 B、存在循环回路 C、多个终点节点 D、节点编号有误 E、工作代号重复

作者: rantiku 人气: - 评论: 0
问题 某双代号网络图计划如下图所示,图中错误的有()。
选项 A、多个起点节点 B、存在循环回路 C、多个终点节点 D、节点编号有误 E、工作代号重复
答案 ACD
解析 节点1、3起点节点; 节点6,8为终点节点; 工作3-2、工作7-6错。

猜你喜欢

发表评论
更多 网友评论0 条评论)
暂无评论

访问排行

Copyright © 2012-2014 恰考网 Inc. 保留所有权利。 Powered by tikuer.com

页面耗时0.0474秒, 内存占用1.03 MB, Cache:redis,访问数据库20次