下列公式是用来计算到期收益率的是()。

作者: tihaiku 人气: - 评论: 0
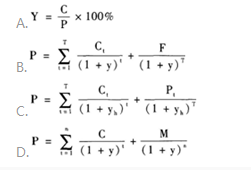
问题 下列公式是用来计算到期收益率的是()。
选项
答案 B
解析 A是当期收益率的公式;C是持有期收益率的公式;D是赎回收益率的公式。

相关内容:公式,到期,收益率

猜你喜欢

发表评论
更多 网友评论0 条评论)
暂无评论

访问排行

Copyright © 2012-2014 恰考网 Inc. 保留所有权利。 Powered by tikuer.com

页面耗时0.0510秒, 内存占用1.05 MB, Cache:redis,访问数据库20次