共用题干某公司已在美国纳斯达克市场上市。当前该公司的β系数为1.5,纳斯达克的市场组合收益率为8%,美国国债的利率是2%。通过CAPM模型测得的该公司股票...

作者: rantiku 人气: - 评论: 0
问题 共用题干某公司已在美国纳斯达克市场上市。当前该公司的β系数为1.5,纳斯达克的市场组合收益率为8%,美国国债的利率是2%。
选项 通过CAPM模型测得的该公司股票的预期收益率是()。 A:3% B:6% C:9% D:11%
答案 D
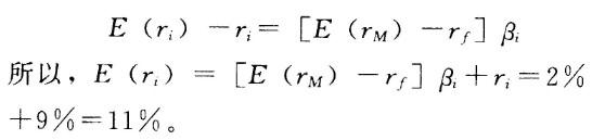
解析 本题考查β系数。若此时市场上涨10%,则该公司股票上涨1.5*10%=15%。 本题考查风险溢价的公式。风险溢价的决定公式是E(r)-rf=8%-2%=6%。 [E(rM)-rf]βi=(8%-2%)*1.5=9%。

猜你喜欢

发表评论
更多 网友评论0 条评论)
暂无评论

访问排行

Copyright © 2012-2014 恰考网 Inc. 保留所有权利。 Powered by tikuer.com

页面耗时0.0420秒, 内存占用1.03 MB, Cache:redis,访问数据库20次