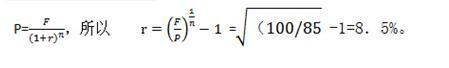
假定某2年期零息债券的面值为100元,发行价格为85元,某投资者买入后持有至到期,则其到期收益率是( )。A、 7.5% B、 8.5% C...

作者: tihaiku 人气: - 评论: 0
问题 假定某2年期零息债券的面值为100元,发行价格为85元,某投资者买入后持有至到期,则其到期收益率是( )。
选项 A、 7.5% B、 8.5% C、17.6% D、 19.2%
答案 B
解析 本题考查到期收益率。

猜你喜欢

发表评论
更多 网友评论0 条评论)
暂无评论

访问排行

Copyright © 2012-2014 恰考网 Inc. 保留所有权利。 Powered by tikuer.com

页面耗时0.0403秒, 内存占用1.03 MB, Cache:redis,访问数据库19次