共用题干 某公司已在美国纳斯达克市场上市。当前该公司的β系数为1.5,纳斯达克的市场组合收益率为8%,美国国债的利率是2%。若此时市场上涨10%,则该公...

作者: tihaiku 人气: - 评论: 0
问题 共用题干 某公司已在美国纳斯达克市场上市。当前该公司的β系数为1.5,纳斯达克的市场组合收益率为8%,美国国债的利率是2%。
选项 若此时市场上涨10%,则该公司股票上涨()。 A:5.3% B:12% C:15% D:20%
答案 C
解析 本题考查β系数。若此时市场上涨10%,则该公司股票上涨1.5*10%=15%。
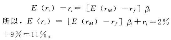
本题考查风险溢价的公式。风险溢价的决定公式是E(r)-rf=8%-2%=6%。
[E(rM)-rfi=(8%-2%)*1.5=9%。

相关内容:题干,公司,美国,纳斯达克,市场,上市,系数,组合,收益率,国债,利率,上涨,该公

猜你喜欢

发表评论
更多 网友评论0 条评论)
暂无评论

访问排行

Copyright © 2012-2014 恰考网 Inc. 保留所有权利。 Powered by tikuer.com

页面耗时0.0329秒, 内存占用1.04 MB, Cache:redis,访问数据库19次