某公司打算运用6个月期的沪深300价指数期货为其价值600万元的股组合套期保值,该组合的值为12.,当时的期货价格为400元,则该公司应卖出的期货合约数量...

作者: tihaiku 人气: - 评论: 0
问题 某公司打算运用6个月期的沪深300价指数期货为其价值600万元的股组合套期保值,该组合的值为12.,当时的期货价格为400元,则该公司应卖出的期货合约数量为( )份。
选项 A.15 B.27 C.30 D.60
答案 D
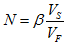
解析 股指期货最佳套期保值数量:其中,Vs为股票组合的价值;Vf为单位股指期货合约的价值(等于期货价格乘以合约大小);β为该股票组合与期货标的股指的β系数。因为股票组合没有单位价格,因此很少使用套期保值比率,直接计算套期保值需要的最佳期货数量比较合适。 由于一份该期货合约的价值为400×300=12万元,因此该公司应卖出的期货合约的数量为:1.2*600/12=60份。

相关内容:公司,打算,6个月,指数,期货,价值,600万元,组合,套期,保值,价格,400元,合约,数量

猜你喜欢

发表评论
更多 网友评论0 条评论)
暂无评论

访问排行

Copyright © 2012-2014 恰考网 Inc. 保留所有权利。 Powered by tikuer.com

页面耗时0.0764秒, 内存占用1.04 MB, Cache:redis,访问数据库15次