(二) 2015年8月1日,刘先生以95元的价格在上海证券交易所购买了甲公司于2015年1月 1日发行的公司债券。该债券面值为100元,票面利率4%...

作者: tihaiku 人气: - 评论: 0
问题 (二) 2015年8月1日,刘先生以95元的价格在上海证券交易所购买了甲公司于2015年1月 1日发行的公司债券。该债券面值为100元,票面利率4%,到期日为2018年1月1日,每年年末付息一次,到期后还本。假设此期间市场利率始终为5%。 该债券的发行价格应为( )元。
选项 A.86.38 B.97.28 C.100.00 D.102.45
答案 B
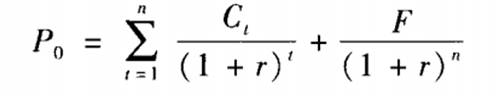
解析 按年收益率每年付息一次的债券定价公式如下:

F为债券面额,即n年到期所归还的本金;Ct为第t时期债券收益或息票利率,通常为债券年收益率;r为市场利率或债券预期收益率;n为偿还期限。 第一年后收入4元的现值:4÷(1+5%)≈3.81(元) 第二年后收入4元的现值:4÷(1+5%)2≈3.63(元) 第三年后收入4元的现值:4÷(1+5%)3≈3.46(元) 第三年后收入100元的现值:100÷(1+5%)3≈86.38(元) 总现值:3.81+3.63+3.46+86.38=97.28(元) 该债券发行时,其未来息票的现值为10.9元,100元偿还价的现值为86.38元,因此该债券的发行价为97.28元。

相关内容:2015年,刘先生,价格,上海,证券交易,公司于,公司,债券,面值,100元,票面,利率

猜你喜欢

发表评论
更多 网友评论0 条评论)
暂无评论

访问排行

Copyright © 2012-2014 恰考网 Inc. 保留所有权利。 Powered by tikuer.com

页面耗时0.0390秒, 内存占用1.05 MB, Cache:redis,访问数据库18次