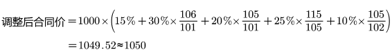
某工程施工合同约定,根据价格调整公式调整合同价,可调值部分的费用类型、占合同总价的比例和相关价格指数见下表,若结算当月完成的合同额为1000万元,则调整后...

作者: tihaiku 人气: - 评论: 0
问题 某工程施工合同约定,根据价格调整公式调整合同价,可调值部分的费用类型、占合同总价的比例和相关价格指数见下表,若结算当月完成的合同额为1000万元,则调整后的合同金额为(  )万元。
选项 A.896 B.1050 C.1017 D.1000
答案 B
解析 本题考查的是订立合同时需要明确的内容。

相关内容:工程施工,合同,约定,根据,价格,调整,公式,合同价,调值,部分,费用,类型,总价,比例,相关,价格指数,结算,合同额,1000万元

猜你喜欢

发表评论
更多 网友评论0 条评论)
暂无评论

访问排行

Copyright © 2012-2014 恰考网 Inc. 保留所有权利。 Powered by tikuer.com

页面耗时0.0708秒, 内存占用1.04 MB, Cache:redis,访问数据库17次