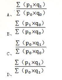
设备工器具基期单价、购置数量分别为p0、q0,报告期单价、购置数量分别为p1、q1,则利用派氏公式表达的设备工器具价格指数为( )。

作者: rantiku 人气: - 评论: 0
问题 设备工器具基期单价、购置数量分别为p0、q0,报告期单价、购置数量分别为p1、q1,则利用派氏公式表达的设备工器具价格指数为( )。
选项
答案 D
解析 本题考查的是工程造价指数的编制。设备、工器具价格指数=Σ(报告期设备工器具单价*报告期购置数量)/Σ(基期设备工器具单价*报告期购置数量)=Σ(p1*q1)/Σ(p0*q1)。参见教材P109。

猜你喜欢

发表评论
更多 网友评论0 条评论)
暂无评论

访问排行

Copyright © 2012-2014 恰考网 Inc. 保留所有权利。 Powered by tikuer.com

页面耗时0.0288秒, 内存占用1.03 MB, Cache:redis,访问数据库18次