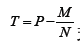
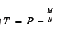
在用起扣点计算法扣回预付款时,起扣点计算公式为 则式中N 是指()。A.工程预付款总额 B.工程合同总额 C.主要材料及构件所占比重 ...

作者: rantiku 人气: - 评论: 0
问题 在用起扣点计算法扣回预付款时,起扣点计算公式为 则式中N 是指()。
选项 A.工程预付款总额 B.工程合同总额 C.主要材料及构件所占比重 D.累计完成工程金额
答案 C
解析 式中:T——起扣点(即工程预付款开始扣回时)的累计完成工程金额; M——工程预付款总额; N——主要材料及构件所占比重; P——承包工程合同总额。

猜你喜欢

发表评论
更多 网友评论0 条评论)
暂无评论

访问排行

Copyright © 2012-2014 恰考网 Inc. 保留所有权利。 Powered by tikuer.com

页面耗时0.0609秒, 内存占用1.03 MB, Cache:redis,访问数据库17次