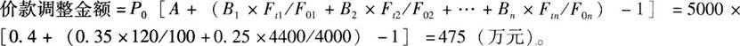
某建设项目施工合同约定采用价格指数法调整合同价款,各项费用权重及价格如下表所示。已知该工程5月份完成的合同价款为5000万元,则5月份合同价款调整金额为(...

作者: rantiku 人气: - 评论: 0
问题 某建设项目施工合同约定采用价格指数法调整合同价款,各项费用权重及价格如下表所示。已知该工程5月份完成的合同价款为5000万元,则5月份合同价款调整金额为(  )万元。
选项 A.258 B.475 C.167.5 D.97.5
答案 B
解析 考点:物价变化类合同价款调整事项。根据价格调整公式计算合同

猜你喜欢

发表评论
更多 网友评论0 条评论)
暂无评论

访问排行

Copyright © 2012-2014 恰考网 Inc. 保留所有权利。 Powered by tikuer.com

页面耗时0.0358秒, 内存占用1.03 MB, Cache:redis,访问数据库19次