一台设备,目前实际价值P=8000元,预计残值800元,第一年运行成本600元,每年设备的劣化值增量相等,年劣化值300元,该设备的经济寿命( )。A.5...

作者: tihaiku 人气: - 评论: 0
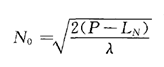
问题 一台设备,目前实际价值P=8000元,预计残值800元,第一年运行成本600元,每年设备的劣化值增量相等,年劣化值300元,该设备的经济寿命( )。
选项 A.5年 B.6年 C.7年 D.8年
答案 C
解析 代入数值,求得N0=6.93,最接近的答案为C,7年。

相关内容:设备,实际,价值,8000元,800元,第一年,运行,成本,600元,增量,300元,经济,寿命,A.5...

猜你喜欢

发表评论
更多 网友评论0 条评论)
暂无评论

访问排行

Copyright © 2012-2014 恰考网 Inc. 保留所有权利。 Powered by tikuer.com

页面耗时0.0434秒, 内存占用1.05 MB, Cache:redis,访问数据库19次