某项目各年净现金流量如下表。设基准收益率为10%,则该项目的财务净现值和静态投资回收期分别为(  )。 年份 0 1 2 3 4 净现金流量(...

作者: tihaiku 人气: - 评论: 0
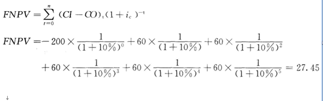
问题 某项目各年净现金流量如下表。设基准收益率为10%,则该项目的财务净现值和静态投资回收期分别为(  )。 年份 0 1 2 3 4 净现金流量(万元) -200 60 60 60 60 60
选项 A.44.20万元,3.33年 B.44.20万元,3.50年 C.27.45万元,3.50年 D.27.45万元,3.33年
答案 D
解析 考点:净现值和静态投资回收期的计算。财务净现值计算公式为: 静态投资回收期可根据累计净现金流量求得,也就是在技术方案投资现金流量表中累计净现金流量由负值变为零的时点。本题逐年累计净现金流量如下表: 年份 0 1 2 3 4 5 净现金流量(万元) -200 60 60 60 60 60 累计净现金流量(万元) -200 -140 -80 -20 40 100 累计现金流量第3年末为负值,第4年出现正值。则静态投资回收期=3+20÷60=3.33年。故本题正确选项为D。

相关内容:项目,现金流量,基准,收益率,目的,财务,现值,静态,投资,回收期,年份

猜你喜欢

发表评论
更多 网友评论0 条评论)
暂无评论

访问排行

Copyright © 2012-2014 恰考网 Inc. 保留所有权利。 Powered by tikuer.com

页面耗时0.0418秒, 内存占用1.05 MB, Cache:redis,访问数据库20次