某技术方案现金流量见下表。若基准收益率大于零,则其静态投资回收期是(  )年。 A.2.33 B.2.63 C.3.33 D.3.63

作者: tihaiku 人气: - 评论: 0
问题 某技术方案现金流量见下表。若基准收益率大于零,则其静态投资回收期是(  )年。
选项 A.2.33 B.2.63 C.3.33 D.3.63
答案 C
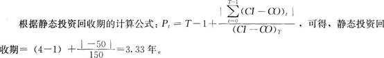
解析 考点:静态投资回收期的计算 本题中累计净现金流量见下表:

相关内容:技术,方案,现金流量,基准,收益率,静态,投资,回收期,A.2.33,B.2.63,C.3.33,D.3.63

猜你喜欢

发表评论
更多 网友评论0 条评论)
暂无评论

访问排行

Copyright © 2012-2014 恰考网 Inc. 保留所有权利。 Powered by tikuer.com

页面耗时0.0568秒, 内存占用1.05 MB, Cache:redis,访问数据库20次