某项目建设期1年,建设投资800万元。第2年末净现金流量为220万元,第3年为242万元,第4年为266万元,第5年为293万元,该项目静态投资回收期为(...

作者: tihaiku 人气: - 评论: 0
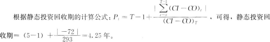
问题 某项目建设期1年,建设投资800万元。第2年末净现金流量为220万元,第3年为242万元,第4年为266万元,第5年为293万元,该项目静态投资回收期为( )年。
选项 A.4.00 B.4.25 C.4. 67 D.5.00
答案 B
解析 本题考核的是静态投资回收期的计算。本题中累计净现金流量见下表:

相关内容:项目建设,建设,投资,800万元,现金流量,220万元,242万元,266万元,293万元,项目,静态,回收期

猜你喜欢

发表评论
更多 网友评论0 条评论)
暂无评论

访问排行

Copyright © 2012-2014 恰考网 Inc. 保留所有权利。 Powered by tikuer.com

页面耗时0.0514秒, 内存占用1.05 MB, Cache:redis,访问数据库20次