某企业向银行借贷一笔资金,按月计息,月利率为1.2%,则年名义利率和年实际利率分别为()。A.13.53%和14.40% B.13.53%和15.39%...

作者: tihaiku 人气: - 评论: 0
问题 某企业向银行借贷一笔资金,按月计息,月利率为1.2%,则年名义利率和年实际利率分别为()。
选项 A.13.53%和14.40% B.13.53%和15.39% C.14.40%和15.39% D.14.40%和15.62%
答案 C
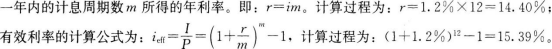
解析 本题考核的是名义利率和实际利率的换算。名义利率r是指计息周期利率i乘以

相关内容:企业,银行,借贷,资金,月利率,名义,利率,实际,A.13.53%,14.40%,B.13.53%,15.39%...

猜你喜欢

发表评论
更多 网友评论0 条评论)
暂无评论

访问排行

Copyright © 2012-2014 恰考网 Inc. 保留所有权利。 Powered by tikuer.com

页面耗时0.0570秒, 内存占用1.05 MB, Cache:redis,访问数据库20次