某建设项目银行贷款2000万元,年利率为8%,每季度复利一次,则该贷款的实际利率为( )。A、7.76% B、8.00% C、8.24% D、8.56%

作者: tihaiku 人气: - 评论: 0
问题 某建设项目银行贷款2000万元,年利率为8%,每季度复利一次,则该贷款的实际利率为( )。
选项 A、7.76% B、8.00% C、8.24% D、8.56%
答案 C
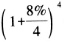
解析 教材P11 本题考查的是名义利率和有效利率的计算。鉴于计息周期不足一年,该贷款应当执行实际利率(有效利率)。根据计算公式,则有 -1≈8.24%。

相关内容:建设项目,银行,贷款,2000万元,年利率,季度,复利,实际,利率

猜你喜欢

发表评论
更多 网友评论0 条评论)
暂无评论

访问排行

Copyright © 2012-2014 恰考网 Inc. 保留所有权利。 Powered by tikuer.com

页面耗时0.0505秒, 内存占用1.05 MB, Cache:redis,访问数据库20次