已知某技术方案现金流量见下表,设ic=10%,则财务净现值为( )万元。 A、82.4 B、101.2 C、110.4 D、204.9

作者: tihaiku 人气: - 评论: 0
问题 已知某技术方案现金流量见下表,设ic=10%,则财务净现值为( )万元。
选项 A、82.4 B、101.2 C、110.4 D、204.9
答案 B
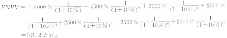
解析 教材P24 考点:财务净现值的计算。财务净现值计算公式为: 式中,FNPV表示财务净现值;(CI-CO),表示技术方案第t年的净现金流量(应注意“+”、“一”号);ic表示基准收益率;n表示技术方案计算期。本题的计算过程为:

相关内容:技术,方案,现金流量,财务,现值,万元

猜你喜欢

发表评论
更多 网友评论0 条评论)
暂无评论

访问排行

Copyright © 2012-2014 恰考网 Inc. 保留所有权利。 Powered by tikuer.com

页面耗时0.0818秒, 内存占用1.05 MB, Cache:redis,访问数据库19次