某设备的原始价值为900元,不论使用多久,其残值均为100元,而其使用费第一年为200元,以后每年增加100元,若不计利息,则该设备的经济使用寿命是( )...

作者: tihaiku 人气: - 评论: 0
问题 某设备的原始价值为900元,不论使用多久,其残值均为100元,而其使用费第一年为200元,以后每年增加100元,若不计利息,则该设备的经济使用寿命是( )年。
选项 A、3 B、4 C、5 D、6
答案 B
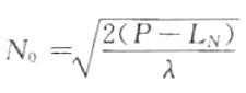
解析 教材P59 No——设备的经济寿命;λ——设备的低劣化值。

相关内容:设备,价值,900元,100元,使用费,第一年,200元,利息,经济,寿命

猜你喜欢

发表评论
更多 网友评论0 条评论)
暂无评论

访问排行

Copyright © 2012-2014 恰考网 Inc. 保留所有权利。 Powered by tikuer.com

页面耗时0.0453秒, 内存占用1.05 MB, Cache:redis,访问数据库20次