某工程约定当价格波动超过一定范围时根据价格调整公式调整合同价。已知小调整部分占合同总价的15%,可以调整部分有人工费、运输费、钢筋价格、混凝土价格,其占合...

作者: tihaiku 人气: - 评论: 0
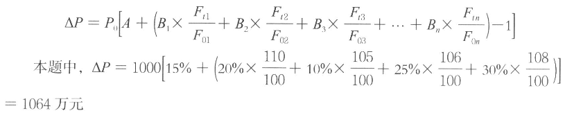
问题 某工程约定当价格波动超过一定范围时根据价格调整公式调整合同价。已知小调整部分占合同总价的15%,可以调整部分有人工费、运输费、钢筋价格、混凝土价格,其占合同总价的比例分别为20%、10%、25%和30%。基准日期的价格指数均为100,结算时采用的价格指数分别为110、105、106、108。若结算当月完成的合同额1000万元,则调整后的合同金额为( )万元。
选项 A、914 B、1059 C、1064 D、1137
答案 C
解析 2019新版教材P261 因人工、材料和设备等价格波动影响合同价格时,根据专用合同条款中约定的数据,按以下公式计算差额并调整合同价格 :

相关内容:工程,价格,波动,范围,根据,调整,公式,合同价,部分,合同,总价,人工费,运输,钢筋,混凝土,其占

猜你喜欢

发表评论
更多 网友评论0 条评论)
暂无评论

访问排行

Copyright © 2012-2014 恰考网 Inc. 保留所有权利。 Powered by tikuer.com

页面耗时0.0421秒, 内存占用1.05 MB, Cache:redis,访问数据库20次