某人连续5年每年末存入银行20万元,银行年利率6%,按年复利计算,第5年年末一次性收回本金和利息,则到期可以回收的金额为( )万元。 A. 104...

作者: tihaiku 人气: - 评论: 0
问题 某人连续5年每年末存入银行20万元,银行年利率6%,按年复利计算,第5年年末一次性收回本金和利息,则到期可以回收的金额为( )万元。 A. 104.80 B. 106.00 C. 107.49 D. 112.74
选项
答案 D
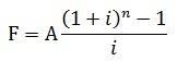
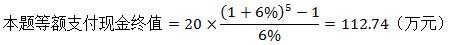
解析 2010年建设工程经济真题第2题 本题主要考查了等额支付现金终值的计算。 等额支付现金终值: 因此,本题正确答案为D项。

相关内容:银行,20万元,年利率,复利,本金,利息,到期,回收,金额,万元,104...

猜你喜欢

发表评论
更多 网友评论0 条评论)
暂无评论

访问排行

Copyright © 2012-2014 恰考网 Inc. 保留所有权利。 Powered by tikuer.com

页面耗时0.0368秒, 内存占用1.04 MB, Cache:redis,访问数据库14次