关于有效利率和名义利率关系的说法,正确的有( )。 A. 年有效利率和名义利率的关系实质上与复利和单利的关系一样 B. 每年计息周期数越多,则年...

作者: tihaiku 人气: - 评论: 0
问题 关于有效利率和名义利率关系的说法,正确的有( )。 A. 年有效利率和名义利率的关系实质上与复利和单利的关系一样 B. 每年计息周期数越多,则年有效利率和名义利率的差异越大 C. 只要名义利率大于零,则据此计算出来的年有效利率一定大于年名义利率 D. 计息周期与利率周期相同时,周期名义利率与有效利率相等 E. 单利计息时,名义利率和有效利率没有差异
选项
答案 ABE
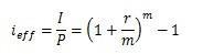
解析 本题主要考查了名义利率和有效利率的计算。 ABE项:年有效利率和名义利率的计算公式关系是: 式中, 代表有效利率(即实际利率),r代表名义利率,m代表一年内的计息周期数 由此可见,年有效利率和名义利率的关系实质上与复利和单利的关系一样,每年计息周期m越多, 与r相差越大。因此,ABE项正确。 C项:若实际计息周期小于一年,采用单利计息,则名义利率和年有效利率相等,因此,C项表述错误。 D项:在复利计算中,利率周期通常以年为单位,当计息周期为一年时,名义利率等于年有效利率。因此,D项表述错误。 综上所述,本题正确答案为ABE项。

相关内容:利率,名义,关系,说法,复利,单利,周期数,期数,越多,则年

猜你喜欢

发表评论
更多 网友评论0 条评论)
暂无评论

访问排行

Copyright © 2012-2014 恰考网 Inc. 保留所有权利。 Powered by tikuer.com

页面耗时0.0580秒, 内存占用1.05 MB, Cache:redis,访问数据库19次