某技术方案寿命期为7年,各年现金流量如下表所示,该技术方案静态投资回收期为( )年。 A. 4.4 B. 4.8 C. 5.0 D....

作者: tihaiku 人气: - 评论: 0
问题 某技术方案寿命期为7年,各年现金流量如下表所示,该技术方案静态投资回收期为( )年。 A. 4.4 B. 4.8 C. 5.0 D. 5.4
选项
答案 B
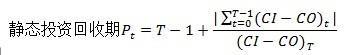
解析 本题主要考查了静态投资回收期的计算。 静态投资回收期可根据净现金流量计算,其具体计算又可根据技术方案实施后各年的净收益是否相同分为两种情况。本题技术方案实施后各年的净收益不相同,则静态投资回收期计算公式为: VIP协议包过班 kc.kaoshiwuyou.cn 名师领航 直播+录播双轨教学 辅导答疑+跟踪督学 一次通关。 根据给定的各年现金流入与现金流出,分别计算各年的净现金流量和累计净现金流量: 本题中静态回收投资期: 因此,本题正确答案为B项。

相关内容:技术,方案,寿命,现金流量,静态,投资,回收期

猜你喜欢

发表评论
更多 网友评论0 条评论)
暂无评论

访问排行

Copyright © 2012-2014 恰考网 Inc. 保留所有权利。 Powered by tikuer.com

页面耗时0.0383秒, 内存占用1.05 MB, Cache:redis,访问数据库19次