某项目设计年生产能力为10万元,年固定成本为1500万元,单台产品销售价格为1200元,单台产品可变成本为650元,单台产品营业税金及附加为150元。则该...

作者: tihaiku 人气: - 评论: 0
问题 某项目设计年生产能力为10万元,年固定成本为1500万元,单台产品销售价格为1200元,单台产品可变成本为650元,单台产品营业税金及附加为150元。则该项目产销量的盈亏平衡点是( )台。 A. 37 500 B. 27 272 C. 18 750 D. 12 500
选项
答案 A
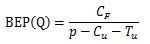
解析 2009年建设工程经济真题第50题 本题主要考查了产销量盈亏平衡分析的方法。 以产销量表示的盈亏平衡点BEP(Q)的计算公式如下: 式中,P表示产品销售价格,表示固定资产,表示单位变动成本,表示销售税金及附加 因此,本题正确答案为A项。

相关内容:项目,设计,10万元,成本,1500万元,单台,产品,1200元,可变,650元,营业,税金,附加,150元,则该

猜你喜欢

发表评论
更多 网友评论0 条评论)
暂无评论

访问排行

Copyright © 2012-2014 恰考网 Inc. 保留所有权利。 Powered by tikuer.com

页面耗时0.0349秒, 内存占用1.05 MB, Cache:redis,访问数据库19次