某租出设备价格50万元,租期为5年,折现率8%,附加率4%,采用附加率法计算租金时,刚每年租金不能低于( )万元。 A. 11.2 B. 12....

作者: tihaiku 人气: - 评论: 0
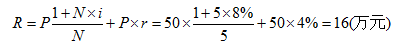
问题 某租出设备价格50万元,租期为5年,折现率8%,附加率4%,采用附加率法计算租金时,刚每年租金不能低于( )万元。 A. 11.2 B. 12.0 C. 14.0 D. 16.0
选项
答案 D
解析 2006年建设工程经济真题第11题 此题考查的是采用附加率法计算每期租金。 每期租金计算为。式中P为租赁资产的价格,N为租赁期数,i为与租赁期数对应的利率,r为附加率。 故此题正确选项为D项。

相关内容:设备,价格,50万元,租期,折现率,附加率,租金,刚每,年租金,万元,12....

猜你喜欢

发表评论
更多 网友评论0 条评论)
暂无评论

访问排行

Copyright © 2012-2014 恰考网 Inc. 保留所有权利。 Powered by tikuer.com

页面耗时0.0466秒, 内存占用1.05 MB, Cache:redis,访问数据库20次